Il y a quelque chose qui ne va pas bien dans notre rapport actuel en France avec les sciences exactes, leur enseignement, la compréhension que nous en avons, et l’image globale qui est celle de ces disciplines.
Au début d’un siècle qui sera nécessairement avant tout celui de la Connaissance, alors que se développent avec puissance et célérité les nouvelles nations émergentes, Chine, Brésil et Inde au premier rang, cette désaffection de masse devrait être une préoccupation majeure.
Or, il semble qu’il n’en soit rien. Et cela est d’autant plus pernicieux que nous avons en face des yeux un arbre qui nous cache la forêt, celui de l’excellence de quelques minorités, encore fermement installées aux premiers rangs : Quelques grandes écoles prestigieuses (École Normale Supérieure, Polytechnique, Mines de Paris, etc.), quelques prix Nobel récoltés épisodiquement, des mathématiciens de haut niveau, en résumé une élite remarquable, mais toutefois incapable d’entraîner massivement à sa suite la cohorte de nos bacheliers sans réel savoir, qui rêvent pour la plupart de faire du commerce, si possible international. Pour vendre quoi ? Des objets manufacturés que nous ne savons plus ni inventer, ni produire à un coût compétitif ? C’est ainsi que les classes préparatoires aux Grandes Écoles sont de plus en plus contestées, au bénéfice d’un nombre multiplié d’Écoles de Commerce, jugées plus accessibles, et en tout cas plus dans l’air du temps…
On sait que la prospérité économique d’un pays, c’est-à-dire l’espérance de croissance de son P.I.B, est désormais inexorablement liée à ses capacités d’innovation. Et un des indicateurs reconnus pour évaluer la capacité d’innovation reste encore le nombre de dépôts de brevets déposés chaque année à l’OMPI (Office Mondial de la Propriété Industrielle). Les deux tableaux ci-dessous indiquent la position de la France à cet égard dans le concert mondial.


On y constate que notre pays occupe encore une très honorable 6ème place en valeur absolue, loin cependant derrière les quatre mastodontes que sont, dans l’ordre, les USA, le Japon, l’Allemagne et la Chine. En même temps, on prend conscience du retard important que nous accusons vis-à-vis de l’Allemagne, retard qui fait comprendre, en partie tout au moins, pourquoi la santé de l’industrie allemande est insolente, tandis que nos groupes industriels et leurs sous-traitants éprouvent d’énormes difficultés.
Si on rapporte le nombre de dépôts de brevets à la taille de la population, la France se retrouve en huitième position, avec un résultat pratiquement deux fois moins bon que celui des allemands, trois fois moins bon que celui du Japon.
Quelles peuvent être les raisons de ces écarts qui, n’en doutons pas, vont rendre beaucoup plus compliqués les efforts nécessaires de reconquête de points de compétitivité, et donc la capacité à stopper l’hémorragie d’emplois industriels dont nous souffrons ? C’est ce que je vais tenter de discerner, non pas en me livrant à une analyse économique exhaustive, dont je serais d’ailleurs bien incapable, mais en me penchant plus simplement sur une, parmi d’autres, des raisons susceptibles de conduire à l’échec ou à la réussite, les populations de lycéens puis d’étudiants qui devraient constituer les bataillons d’ingénieurs et d’innovateurs en charge demain de cette reconquête.
D’abord, une constatation désolante à mes yeux, mais guère réfutable. Le prestige des disciplines scientifiques et des carrières auxquelles elles conduisent est en berne. L’effort à fournir serait, parait-il, trop important. Les sirènes des milieux de la finance et du commerce tellement plus attractives. Mais ne serait-ce pas aussi parce que le programme proposé apparaît avant tout, et à tous, comme prodigieusement aride, compliqué, hérissé de difficultés, pour tout dire dépourvu du moindre attrait ? Que sont devenus les enthousiasmes d’un Jules Verne et de tous les pionniers du début du siècle dernier ? Et pourtant, nous savons aujourd’hui scruter les moindres recoins de notre galaxie, déposer un laboratoire roulant sur la planète Mars, construire des prodiges de technologie dans le domaine des télécommunications, élever d’immenses tours de plusieurs centaines de mètres de hauteur. Tout cela en vain ? L’enthousiasme naïf des débuts, la soif d’apprendre, la joie intellectuelle de comprendre, semblent sinon disparues, du moins ratatinées à l’extrême, sauf bien entendu dans la petite élite des minorités que j’évoquais au début de cet article.
Il est à mon sens au moins une cause qui pourrait expliquer ce constat. Et je la situe dans le contenu et la mise en oeuvre de nos enseignements scientifiques, tant aux niveaux secondaires que supérieurs.
Plongeons nous d’abord un instant dans la lecture des programmes de physique du second cycle des Lycées. J’ai choisi la classe de Première S. (Source : arrêté du 21/07/2010B.O spécial n°9 du 30/09/2010, sur http://www.education.gouv.fr)
En préambule du programme de physique-chimie de la classe de 1ère S, la profession de foi est magnifique, et embrasse les trois classes du second cycle: « L’enseignement des sciences physiques et chimiques contribue à la construction d’une culture scientifique et citoyenne indispensable à une époque où l’activité scientifique et le développement technologique imprègnent notre vie quotidienne et les choix de société. «
Mais les deux phrases suivantes rafraîchissent légèrement l’enthousiasme :
« L’activité expérimentale permet notamment de poursuivre l’éducation de l’élève à la sécurité, à l’évaluation des risques, à la surveillance et à la protection de l’environnement, au développement durable. De nos jours, l’enseignement de la physique et de la chimie participe à poser les bases de comportements sociétaux responsables qui fondent la possibilité du vivre ensemble. «
La suite me remplit par contre de perplexité :
« En classe de seconde, la présentation des programmes sous forme de thèmes : santé, pratique sportive, Univers, a été retenue pour prendre en compte la diversité des publics accueillis. » Pourquoi pas ? me dis-je, bien que cela ne doive pas beaucoup aider à débuter une introduction à la physique, à la fois méthodique, claire et progressive.
Mais le paragraphe suivant me rassure, car il porte au pinacle tout ce que l’on peut espérer de cette formation de futurs scientifiques :
« Au cycle terminal de la série S, les élèves ayant fait le choix d’une orientation scientifique, le programme a pour ambition de développer leur vocation pour la science et de les préparer à des études scientifiques post-baccalauréat. La discipline, avec ses contenus et ses méthodes, se met au service de cette ambition en se fondant sur les atouts qui lui sont propres : son rapport privilégié au réel, qu’elle englobe et pénètre au plus loin, son rôle dans la structuration des esprits, son importance dans l’appréhension et la relève des défis posés à l’Homme par l’évolution du monde et de la société.«
Ce qui vient après m’inquiète quand même, car je finis par trouver que le rédacteur du décret en fait peut-être un peu trop. Après tout, le public visé est juste celui des lycéens ?
« Partant de cette problématique globale, l’enseignement de la physique-chimie au cycle terminal permet la construction progressive et la mobilisation du corpus de connaissances et de méthodes scientifiques de base de la discipline, en s’organisant autour des grandes étapes de la démarche scientifique : l’observation, la modélisation, et l’action sur le réel, tout en recherchant l’adhésion et l’intérêt des élèves par des entrées et des questionnements contextualisés et modernes.«
Et ce n’est pas le style technocratique de la péroraison finale qui va me rassurer beaucoup :
« En classe de seconde, la liberté pédagogique du professeur s’incarne dans une logique thématique propre à éclairer les choix d’orientation des élèves. Au cycle terminal, elle s’inscrit dans la possibilité de choisir le niveau d’entrée au sein de la démarche scientifique globale sous-tendant l’articulation du programme. Le professeur peut ainsi trouver l’accroche la plus à même de consolider l’orientation scientifique de ses élèves en les initiant aux subtilités et à la pluralité de l’approche du réel. Cette liberté, tournée vers la méthode et qui affranchit d’une lecture séquentielle du programme, rend également plus faciles les réorientations des élèves entre les différentes séries.«
Et l’arrêté de conclure :
« La liberté de l’enseignant, traduction sur le plan pédagogique de la liberté intellectuelle du chercheur, doit être révélatrice pour les élèves de l’esprit de la démarche scientifique. »
La lecture du tableau détaillant les notions et contenus (colonne 1) et des compétences attendues (colonne 2) me laisse plutôt dubitatif. (Notons que je n’ai examiné que la partie consacrée à la physique, laissant la chimie de côté). Par contre, on comprend qu’on peut l’entreprendre dans n’importe quel ordre, comme l’arrêté l’autorise, ce qui n’est pas forcément un avantage. L’ensemble comporte trois sections :
1 – Observer :
Le domaine de connaissance proposé à l’observation est : « Couleur, vision et image »
2 – Comprendre. Lois et modèles.
Du noyau à la galaxie ! Interactions fondamentales. Radioactivité. Réactions de fission et fusion . Champs et forces. Formes d’énergie. Conservation de l’énergie. Application à la découverte du neutrino.
3 – Agir. Défis du XXIème siècle
Ressources énergétiques renouvelables. Transport et stockage de l’énergie. Production de l’énergie électrique. Puissance Loi d’Ohm. Effet Joule.
Au total, je trouve le constat accablant. Oser proposer en programme un fourre-tout dans lequel on fait se côtoyer une symphonie dodécaphonique (du noyau à la galaxie ; fission et fusion) et un simple air de pipeau (Loi d’Ohm, effet Joule) me paraît surréaliste. Surtout lorsque la fréquentation des manuels officiels (ma contribution de bénévole aux séances de soutien scolaire organisées par la Ville de Vannes m’en donne l’occasion) me révèle qu’ils sont ordonnés selon une logique bizarre, que les lois énoncées doivent presque toujours être crues sur parole, et que les outils mathématiques pour faire un peu de physique sont absents ou indigents.
Bon, j’ai été déçu par le lycée. Mais j’espère que la (courte) visite que je vais entreprendre de vous présenter des programmes de physique à l’Université, va nous rassurer et nous convaincre que notre Enseignement Supérieur saura former les physiciens de demain dont nous avons besoin.
Un accès internet facile m’a conduit, un peu au hasard, sur le site du Département de Physique-EEA de l’Université de Caen. Et comme je viens d’écrire un livre dont une grande partie est consacrée à l’électromagnétisme [1], je me suis naturellement précipité sur la section Électromagnétisme. Las ! Au sommaire du site sous cette rubrique, j’ai seulement trouvé ce qui est reproduit ci-dessous :
La section L2, qui doit renfermer les trésors que j’escomptais, étant absente (en dépit du fait que la dernière mise à jour du site est datée de 2006, ce qui ne plaide pas en faveur de l’e-learning, tellement à la mode aujourd’hui), je me suis donc rabattu sur la section L3, de laquelle j’ai extrait le court passage ci-après :
Que les non-physiciens veuillent bien me pardonner cette intrusion dans le champ de leur incompréhension (voilà que j’écris comme les rédacteurs d’arrêtés de l’Education Nationale!), mais il s’agit de montrer ici un exemple du conformisme de certains universitaires français, qui n’hésitent guère à reproduire et reproduire les écrits de leurs prédécesseurs, sans jamais de changement, même pour introduire une précision. Et ici, la précision à introduire est de taille !
C’est que les deux grandeurs physiques dont il est question dans cet encadré, la perméabilité magnétique du vide et la permittivité électrique du vide n’existent tout simplement pas ! Pour la simple et bonne raison que le vide, par définition c’est RIEN, et que RIEN ne peut pas avoir de propriétés physiques. Sinon, ce ne serait pas RIEN !
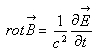
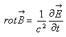
Mais voilà, depuis James Maxwell en 1864, c’est ce qui s’écrit, et l’on continue. En vérité, la relation qui fait désordre dans le vide, écrite à tort :
doit en fait s’écrire comme suit:
relation où n’apparaît plus aucune éventuelle propriété physique du milieu dans lequel la relation est valable, mais seulement la constante c, désignant la vitesse de propagation de la lumière dans le vide.
En fait, il se trouve que pour faire une théorie des ondes électromagnétiques dans le vide (et dans l’air, il n’y a pratiquement rien à changer), on n’a plus aujourd’hui aucun besoin d’introduire de coefficients de proportionalité qui soient des propriétés physiques. L’introduction de ces propriétés physiques sont des héritages des théories historiques des Coulomb, Ampère et Maxwell, qui étaient à l’époque des nécessités liées aux choix des unités adoptées pour exprimer les valeurs des courants et des champs électriques et magnétiques. Depuis 1948, on n’a plus ces difficultés. La conférence internationale des Poids et Mesures a donné une définition de l’unité de courant électrique, l’Ampère, qui implique du même coup la fixation du lien de proportionnalité avec les champs magnétiques résultant de l’existence des courants. Ce lien est la fameuse constante μ0 dont la valeur numérique exacte est désormais le résultat d’un décret et non plus d’une mesure :
μ0 = 4π . 10 -7 newton par (ampère)2
Quand on sait que le newton est l’unité pour mesurer les forces, on comprend alors clairement que les courants électriques ont vocation à engendrer des forces.
Et du coup, la question de l’autre constante de proportionnalité est réglée en même temps. La première constante étant définie désormais par un décret, la valeur de la seconde ε0 l’est définitivement par la propriété relativiste:
de sorte que l’on n’est plus du tout en présence d’éventuelles et chimériques propriétés physiques du vide, mais de simples constantes de proportionnalité rendues nécessaires pour exprimer des liens entre des grandeurs de dimensions physiques différentes. Pourquoi ne pas expliquer clairement ces réalités indubitables ?
Car, et ce sera ma dernière incursion dans le domaine des connaissances en physique (Mais comment dire des choses sensées en matière de programmes d’enseignement sans aborder la réelle signification de ce que l’on se propose d’enseigner?), on doit affirmer que les phénomènes magnétiques observés ne sont rien d’autre que la conséquence de l’existence de changements de vitesses relatives entre les déplacements de charges sources des phénomènes (des courants donc) et les déplacements de charges constatés à distance (imputés à des forces dites magnétiques).
En bref, le magnétisme n’existe pas intrinsèquement. C’est un effet relativiste. La critique que l’on peut alors faire, c’est que cette conclusion révolutionnaire n’apparait jamais, ou alors est soigneusement dissimulée, dans les programmes de physique de nos universités.
Fort heureusement, j’ai également eu accès à des cours de physique en ligne d’autres universités (Tours, Paris-Sud, Bourgogne), qui m’ont parus solides et ambitieux. Mais tous partagent cependant la même propension à privilégier la présentation des phénomènes par le truchement d’un appareil mathématique sophistiqué, trop sophistiqué sans doute. Les mathématiques et leur rigueur absolue ne sont pas de la physique, et réciproquement. Il y a sans doute là une difficulté importante à surmonter pour la plupart des bacheliers de notre époque, et c’est sans doute l’explication du taux d’échec important que l’on dit observer en première année de facultés des sciences.
Alors que faire ? J’ai mon idée sur la question et je vais vous la dire. Il existe un modèle qui a fonctionné avec succès, et a été salué à l’époque par des universitaires français. C’est l’ensemble des cinq volumes du Cours de Physique de Richard Feynman, Prix Nobel de Physique. Voici ce que G.Delacote, Professeur de Physique à l’Université Paris VII, en écrivait en avril 1979 :
« La raison de son immense succès est le style d’approche de la physique que Feynman présente dans ses cours. À aucun moment, l’outillage mathématique ne vient entraver la compréhension des phénomènes physiques. Bien au contraire, cet outillage est conçu pour répondre aux problèmes que se pose le physicien. Il en résulte que le lecteur de ce livre découvre à la fois les grands problèmes de physique et les outils mathématiques indispensables pour les résoudre le plus simplement possible. »
J’ai donc décidé de tester l’idée, en vraie grandeur. J’ai d’abord écrit un livre, fortement inspiré des Cours de Feynman, mais aussi du Cours de l’Université américaine de Berkeley, puis je l’ai enseigné pendant maintenant deux ans à l’Université Tous Ages de Vannes. Mes étudiants étaient des seniors désireux de voir si leurs méninges fonctionnaient encore, et si ce que je racontais était vrai. En substance, qu’ils comprendraient tout, et que la question des maths ne les gêneraient pas. Et je crois avoir le droit de dire qu’ils sont extrêmement heureux de cette expérience.
Mais ce qu’il faut dire, c’est que dans ce livre, la progression adoptée est logique, du simple au compliqué. Que les outils mathématiques indispensables, même les plus simples, sont clairement introduits et leur sens et la manière de les utiliser expliqués complètement et clairement.

Peut-être est-ce considéré comme démodé ? Alors tant pis ! Mais je pense quand même que l’étude de ce livre pourrait constituer une aide importante à beaucoup de jeunes étudiants en première année de faculté des Sciences, qui se demandent s’ils n’ont pas fait fausse route et ne vont pas devoir abandonner.
Pour ne pas cependant que l’on me taxe d’optimisme béat, je terminerai sur une réflexion réaliste citée par Richard Feynman :
« La puissance de l’instruction est rarement de grande efficacité, à l’exception de ces dispositions heureuses où elle est pratiquement superflue » (Gibbons).
Pierre Cormault




