Dans les billets précédents, nous avons déjà mis en avant six grandes idées :
I – Premier point : Bien se persuader que la météorologie est avant tout une discipline de physiciens soucieux de comprendre l’évolution dans le temps de deux paramètres fondamentaux : la pression atmosphérique et la température de cette atmosphère ( Billet du 6 avril 2020 complété le 18 avril).
II – Second point : Ne pas perdre de vue que faire de la physique, c’est presque toujours étudier des transferts d’énergie. Dans le cas de la météorologie, il s’agit d’analyser la répartition et l’effet du rayonnement thermique reçu du Soleil. ( Billet du 7 avril 2020) .
III – Troisième point : On pourra alors préciser les répartitions des températures moyennes de l’atmosphère et introduire la nécessité de l’existence de l’effet de serre . Ce qui impose l’idée d’une complication accrue de la composition de l’atmosphère ( Billet du 10 avril 2020) .
IV – Quatrième point : La nécessité impérieuse de prendre en compte le caractère tridimensionnel, et qui plus est sphérique, de l’atmosphère. Complexité accrue par le mouvement de rotation de la Terre sur elle-même, d’où une force de Coriolis qui, combinée avec les échanges thermiques, génère le phénomène des ondes de Rossby ( Billet du 20 avril 2020).
V – Cinquième point : Il en résulte alors l’existence d’un front polaire, parcouru régulièrement de systèmes complexes appelés des perturbations, phénomènes majeurs des changements de temps à nos latitudes ( Billet du 23 avril 2020).
VI – Enfin, sixième point : Rien en météorologie ne pourra être expliqué et compris sans la prise en compte de la présence d’eau dans l’atmosphère, le plus souvent à l’état de vapeur, mais aussi sous forme liquide en micro-parcelles liquides ou solides. ( Billet du 1er mai 2020).
C’est seulement alors, en parvenant à identifier les grandes masses d’air qui composent l’atmosphère, leurs mouvements dans l’espace et leurs conflits, que l’on deviendra en mesure de prévoir l’évolution des paramètres qui nous intéressent (Températures, nébulosité, précipitations) . Ce sera notre septième grande idée.
Nous allons voir que l’identification de ces masses d’air repose sur la connaissance de deux marqueurs : le Géopotentiel Z et la Température potentielle équivalente Theta E .
Revenons sur la première définition proposée dans cette série de billets, celle de l’atmosphère standard :

Dans une atmosphère standard au repos complet, tous les points à 500 hPa sont à l’altitude de 5500 m ( Cette altitude été choisie parce qu’elle marque à peu près la mi-hauteur de l’atmosphère). Mais comme cette hypothèse de repos complet est irréaliste, il est clair que les points de l’atmosphère à une pression de 500 mbar forment plutôt une colline au voisinage de l’altitude z = 5500 m :
On appelle géopotentiel Z500 la cote en décamètres (dam) de chaque point de la surface de cette colline. Et les lignes d’égal Z500 s’appellent des isohypses .
Si le Z500 est plus faible (540 décamètres par exemple), c’est qu’il faut descendre de 10 décamètres (dam) pour trouver les 500 hPa standard. C’est que l’air en dessous s’est tassé ; il est donc plus dense et par conséquent plus froid .
À l’inverse, Si le Z500 est plus fort (560 dam par exemple), c’est qu’il faut monter de 10 dam pour trouver les 500 hPa standard.
L’air en dessous s’est dilaté ; il est donc moins dense et par conséquent plus chaud .
Ci-dessous, une échelle de représentation des masses d’air d’égal Z500 , graduée de 504 dam (ce qui correspond à un air très froid) à 600 dam (un air qui serait très chaud ). La valeur médiane, correspondant à une situation barométrique moyenne, est fixée arbitrairement à 552 dam :
.
Les modèles numériques météorologiques que nous avons brièvement évoqués dans notre billet précédent proposent tous des cartes de prévision de ce que sera la distribution sur une zone déterminée des différentes valeurs de géopotentiel Z500 à un moment futur déterminé. L’objectif est de localiser les différentes masses d’air composant une partie donnée de l’atmosphère, et de suivre le déplacement de ces masses d’air, les unes plus chaudes (les zones en orange et rouge), les autres plus froides (les zones en bleu et violet).
En voici un exemple caractéristique, pour la zone Nord-Atlantique d’intérêt dans le cas de la France, et valable à 7 heures le 21 décembre 2014. Le calcul de cet état de l’atmosphère avait été effectué quatre jours auparavant par le modèle GFS (Global Forecasting System) :
.

(Source : Météociel)
Cette carte met clairement en évidence l’ondulation du front polaire, c’est-à-dire la frontière le long de laquelle s’affrontent, à cette altitude moyenne de 5500 mètres, les masses d’air chaud montant du Sud ( atteignant 590 dam), et les masses d’air froid des plus hautes latitudes (pouvant atteindre dans l’autre sens 490 dam).
Sur cette carte figure également (en blanc) le réseau des isobares. Observez que le sommet isobarique (plus de 1035 hPa) est nettement décalé par rapport à celui de la colline d’isohypses. Côté basses pressions, il n’en est pas de même, les creux isobariques ( 960 hPa) et isohypses coïncidant.
On voit que le marqueur Z500 est intéressant. Mais on peut faire encore mieux pour identifier les différentes masses d’air. Nous allons introduire un marqueur plus spécifique, la Température potentielle équivalente Theta E, en nous appuyant sur l’exemple de la situation suivante :
.
.
Cette carte de géopotentiels Z500 du 13 février 2015 nous montre très clairement deux, et peut-être même trois perturbations arrivant de manière fort menaçante sur les Îles britanniques et la Manche. Cette situation est confirmée par la très belle carte publiée le même jour par les services de la météorologie anglaise (Met office, 13 février 2015, 12 H UTC) :
.
.
Mais aucune de ces deux cartes ne dévoile l’information la plus importante que vous allez découvrir sur la troisième carte suivante :
.
.
Une distribution de masses d’air nettement distinctes les unes des autres apparaît sur cette nouvelle analyse du même état de l’atmosphère .
Les deux dépressions A et B identifiées précédemment, au lieu de poursuivre leur trajectoire dans la direction Est -Sud -Est, se retrouvent isolées l’une de l’autre par un énorme flux d’air chaud en provenance de la Méditerranée.
Le marqueur qui a révélé ce phénomène décisif ( la double menace A et B repoussée vers le Nord-Ouest, c’est-à-dire d’où elle venait ) s’appelle la Température potentielle équivalente Theta E .
Remarquez l’excellente discrimination qu’il permet dans ce cas, avec les quatre valeurs qui se succèdent d’Ouest en Est : 30 à 40, puis 40 à 50, puis 20 à 30, enfin 10 à 20 .
Et de fait, c’est une situation bien meilleure qui était mise en évidence 24 heures plus tard :
.
.
Plus de menace dépressionnaire sur l’Irlande, et seulement une petite poche résiduelle à 1000 hPa sur la Manche !
Il ne nous reste plus qu’à expliquer la supériorité de ce nouveau marqueur Theta E qui permettait d’annoncer vingt quatre heures auparavant, et dans un contexte menaçant, l’embellie constatée ci-dessus. D’abord, quelle est la signification physique de la Température potentielle équivalente Théta E ? Pourquoi une température ?
Parce que cette grandeur physique est un marqueur de l’énergie. Ce qui nous conduit à nous demander une fois de plus : Qu’est-ce que l’énergie, exactement ?
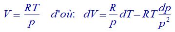
Pour une masse d’air, c’est le produit pV de son volume en mètres cubes par sa pression en Pascals. C’est donc une force par mètre carré multipliée par des mètres cubes, soit une force en Newtons multipliée par des m, ce qu’on appelle des Joules.
Rappelons nous maintenant la loi des gaz parfaits : pV = nRT
n y est simplement un nombre de moles
R est une constante physique exprimée en Joules par Kg et par Kelvin. On voit donc que le produit RT se compte en Joules par kg .
Une température absolue T est donc bien un bon index pour repérer l’énergie totale caractérisant une masse d’air .
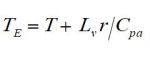
Mais ce n’est pas si simple. N’oublions pas l’importance primordiale de la présence de vapeur d’eau dans l’atmosphère. C’est la raison pour laquelle il est nécessaire d’introduire une nouvelle grandeur appelée la Température équivalente TE , définie par l’expression suivante :
Chaque kg de vapeur d’eau se condensant dans l’atmosphère va libérer une quantité de chaleur Lv = 2500 Joules. (C’est la chaleur qui avait été nécessaire pour vaporiser cette quantité de vapeur, c’est-à-dire pour maintenir à distance suffisante les unes des autres les molécules d’eau) . S’il y a r grammes de vapeur d’eau par kg d’air sec , l’énergie libérée dans un processus de condensation est donc proportionnelle au produit Lv r .
Le terme Cpa est la chaleur spécifique de l’air sec à pression constante. C’est l’énergie qu’il faut fournir à 1 kg d’air sec pour élever sa température de 1K (ou de 1°C). Cpa est de l’ordre de 1000 Joules par kg et par Kelvin.
La signification du terme Lv . r / Cpa devient alors claire : c’est l’élévation de température susceptible d’être apportée à l’air humide en cas de condensation de la vapeur d’eau qu’il contient, cette condensation s’accompagnant alors de la restitution de la chaleur latente emmagasinée. La température équivalente TE est donc la somme prenant en compte la présence de la vapeur d’eau dans l’atmosphère.
.
Mais, la Température Potentielle Équivalente Theta E dans tout cela ?
Pour en comprendre la signification, il faut encore prendre en considération d’autres réalités physiques importantes. L’une d’entre elle est que le constituant principal de l’atmosphère reste l’air. Et l’air possède la propriété d’être un très mauvais conducteur de la chaleur. C’est la raison pour laquelle on utilise des doubles parois pour isoler les maisons, pourquoi il vaut mieux porter deux vêtements qu’un seul pour mieux se protéger du froid. Il en résulte qu’en météorologie, on n’a guère le besoin de prendre en considération des phénomènes éventuels de conduction thermique. L’air étant un bon isolant thermique, on peut négliger les échanges de chaleur Q entre parcelles d’air atmosphérique . C’est ce qu’on appelle un comportement adiabatique, caractérisé par la condition dQ = 0 .
.
C’est donc seulement à cause de phénomènes de condensation adiabatique qu’un réchauffement de l’air sera effectivement constaté. Et on appellera température potentielle équivalente celle qui pourrait être ainsi atteinte, à partir de conditions initiales (T, p) , lors d’une augmentation de la pression p jusqu’à des conditions finales (T0, p0) .
Pendant ce passage de l’état (T, p) à l’état (T0, p0) , une condition physique fondamentale à respecter est celle de la conservation de l’énergie ( Dans un système isolé, il ne peut se créer ni se détruire d’énergie).
À volume constant, pour que la température T d’une petite masse d’air augmente d’une quantité dT, il faut qu’elle reçoive une quantité de chaleur dQ telle que :
le coefficient de proportionnalité Cv s’appelant la capacité thermique de l’air à volume constant .
Mais, comme la pression p va également augmenter, les forces de pression vont venir ajouter à ce bilan un travail p dV, de sorte que le bilan global s’écrira :
La présence du coefficient Cv représente une difficulté, car les calculs des modèles météorologiques ne manipulent que des grandeurs locales comme la pression p et la température T . Heureusement, on peut éliminer ce terme en Cv , en tirant parti de la relation de Mayer :
dans laquelle R est la constante des gaz parfaits déjà rencontrée. On conservera donc en définitive la relation :
De la loi des gaz parfaits, on tire :
.
Ce qui conduit à :
Et en simplifiant :
Ce qui implique alors, en intégrant :
C’est cette dernière relation qui permet de définir la Température Potentielle Équivalente Théta E :
Dans cette relation :
T est la température (en K) de l’air considéré à la pression p (en hPa)
Lv est la chaleur latente d’évaporation (de l’ordre de 2500 kJ/kg)
Cp est la chaleur spécifique de l’air sec à pression constante (1000 J/(kg.K)
r est le rapport de mélange de la vapeur d’eau (en g/kg)
R est la Constante spécifique de l’air sec (287 J/(kg.K)
p0 est la pression finale prise conventionnellement égale à 1000 hPa
Prenons un exemple concret, afin d’avoir une idée plus nette de ce qui se passe dans ce processus :
Partons d’un air humide contenant 10 g de vapeur d’eau par kg d’air sec. Vaporiser ces 10 g de vapeur aura demandé une énergie Lv r de 25 kiloJoules .
Restituer cette énergie lors de la condensation élèvera la température de ce kg d’air humide de : 25000 / 1000 = 25 Kelvin.
R/Cp pour l’air est un nombre sans dimension égal à 0,286
Pour une pression atmosphérique p = 850 hPa ,
( 1000 / p) exp 0,286 = ( 1, 176) exp 0,286 = 1,048
En partant de 850 hPa, l’effet de la redescente à 1000 hPa est donc négligeable.
En définitive, les variations de ce paramètre Theta E indiqueront des pertes ou des gains de chaleur.
De la même manière, la conservation d’une valeur sensiblement constante de Theta E au sein d’une large portion d’atmosphère constituera un excellent marqueur d’une masse d’air aux propriétés thermodynamiques globalement uniformes.
À l’opposé, de brusques variations de Theta E vont indiquer la présence de fronts, séparant des masses d’air bien différenciées.
Pour bien vous montrer les possibilités effectives présentées par ces deux traceurs, tous deux utilisés dans les modèles météorologiques, je vous propose ci-dessous un exemple récent :
.
.
Cette carte qui présente les isobares et le géopotentiel Z500 décrivant l’état de l’atmosphère à cet état précis du 22/02/2020 à 10 H 00 nous montre une énorme masse d’air chaud recouvrant uniformément l’ensemble du pays, pression atmosphérique et énergie (le Z500) montrant tout au plus un léger affaiblissement au fur et à mesure que l’on monte vers le Nord.
Mais voici au même moment, et établie avec les mêmes données de base par le même modèle, la carte de répartition de Theta E :
.
.
L’analyse plus précise de l’état de l’atmosphère dans les basses couches à 850 hPa, c’est-à-dire vers 1500 m d’altitude, nous révèle la présence d’un flux parfaitement différencié, circulant du Sud-Ouest vers le Nord-Est, et n’intéressant que la pointe bretonne et le Cotentin.